- 实验简介
- 实验原理
- 实验要求
1.1实验背景
为本科自动化专业必修课程“计算机控制系统”教学实验服务,开展工程化设计实验服务,提供工程化的虚拟仿真环境,呈现身临其境的视觉效果,开展工程化的建模与控制方法设计,实现“虚拟环境下做真实验”,即针对现有的常规PID控制器设计方法,进行虚拟仿真实验。为本科生自由开展控制算法设计服务,提供一个完全开放的计算机控制虚拟实验环境,使得学生实验可以不受时间、地点和资源限制,针对虚拟化的真实工业过程,在完成基础实验的同时,开展各种研究性实验。为国家精品在线开放课程“计算机控制系统”服务。通过该虚拟仿真实验系统,实现“在网上做实验”,解决网络教学无法实现课程实验的难题,使国家级“计算机控制系统”慕课课程的教学提高到一个新的高度。
计算机控制系统虚拟仿真实验对象选择冶金行业板带材轧机轧制过程厚度控制系统(AGC,Automatic Gauge Control)。该实验对象几乎具有“计算机控制系统”课程中被控对象的所有特性,而轧制生产由于设备、加工材料和成本等因素,在线进行有关轧制过程的AGC教学实验不可能实现,即使为工程的实际设计实验研究也有很大风险,因此建立相应的虚拟仿真系统,并在仿真系统上进行实验研究,具有低成本、零风险的特点,方便该过程成为教学实验,“使不可能的实验成为可能”;同时可以为学生日后从事该过程的建模、优化与控制打下基础。一般热连轧机控制系统和厚度控制直接相关的包括厚度控制系统、速度控制系统、活套控制系统、位置控制系统等。本虚拟仿真实验平台仅仅只是考虑热连轧机的厚度控制系统最基本的RF-AGC和监控AGC两部分功能。
1.2实验目的
1)熟悉一个典型的控制系统。以冶金工业常见的厚度控制系统为例,让学生了解和掌握一个典型的控制系统包含的基本环节和构成,了解和掌握典型的轧制过程厚度控制系统的工作原理,掌握厚度控制系统的基本实现形式。
2)理解和掌握基本PID控制器的设计
PID控制是模拟化设计方法中的典型控制算法,是工业界最常使用的控制算法,其原理是将模拟PID控制算法应用后向差分法进行离散化处理,然后与被控对象组成闭环控制系统,通过该实验,掌握PID各项参数的作用;掌握PID控制中的参数整定方法;初步掌握闭环系统的基本调试方法。
3)理解和掌握厚度控制系统跟随性能
模拟引入实际生产环节中的相关扰动因素,针对由此产生的扰动影响,采用适当的控制器参数设计,最大可能地消除扰动对输出结果的影响。
4)理解和掌握厚度控制系统抗扰性能
根据设定厚度的指标要求,适当设计控制的参数和匹配关系,使得控制效果的输出,也就是轧出的目标厚度达到预期精度要求。
5)熟悉和掌握虚拟仿真平台的软件熟悉和操作。
1.3实验器材
一台可以上网的计算机
一个控制器中采用比例、积分和微分等环节,称之为PID控制器。PID控制是最为常见的是一种负反馈控制,以厚度控制系统为例,设计PID控制器,并对PID参数进行整定。通过虚拟仿真实验系统,深入了解PID控制器中比例、积分、微分三个系数之间的关系,掌握扰动因素对控制系统的影响,从理论上清楚控制效果的展现,使学生即使在虚拟的实验环境中,也能体会到实验的研究性、真实性和趣味性。
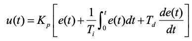
模拟PID控制器的算法为
式中: Kp为比例系数;Ti为积分时间常数;Td为微分时间常数。
传递函数形式的模拟PID控制器为
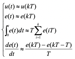
对模拟PID控制器进行离散化处理,用后向差分近似代替微分得
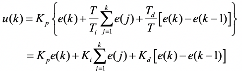
省略采样周期T,即kT记为k(以下同),则
式中,
为积分系数;
为微分系数。
PID参数对系统性能的影响可总结归纳如下:
(1)比例系数Kp对系统性能的影响
对系统静态性能的影响: 在系统稳定的情况下,Kp增加,稳态误差减小,进而提高控制精度。
对系统动态性能的影响:Kp增加,系统响应速度加快;如果Kp偏大,系统输出振荡次数增多,调节时间加长;Kp过大将导致系统不稳定。
(2)积分时间常数Ti对系统性能的影响
对系统静态性能的影响:积分控制能消除系统静差,但若Ti太大,积分作用太弱,以致不能消除静差。
对系统动态性能的影响:若Ti太小,系统将不稳定;若Ti太大,对系统动态性能影响减小。
(3)微分时间常数Td对系统性能的影响
对系统动态性能的影响:选择合适的Td将使系统的超调量减小,调节时间缩短,允许加大比例控制;但若Td过大或过小都会适得其反。
- 详细阅读和理解虚拟仿真实验操作说明书;
- 通过查阅资料,了解冶金行业典型的厚度控制系统基本知识;
- 能够提炼和归纳出厚度控制系统的控制框图;
- 理解计算机仿真的作用,清楚PID控制算法中各个环节的作用;
- 最终实验成绩为每次实验成绩的总和,而每次实验由四部分构成,分别为实验预习、实验过程、实验报告、操作规范;
- 根据实验过程所得到的数据和曲线,进行分析,并提交实验报告。
